читай
Освітній простір
Тести ЗНО/НМТ
Спільнота
Тести спільноти
Полиці
Книги
Автори
Ігри
Публікації
Головна
/
Тести ЗНО/НМТ
/
Інформаційні технології
/
ЄФВВ 2024 з інформац...
Пройти весь тест
Наступне питання
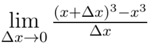
Питання 38
Обчисліть границю
, якщо вона існує.
А) 0.
Б) 3.
В)
Г) Границі не існує.
Показати правильну відповідь
Хочете пройти повний тест
ЄФВВ 2024 з інформаційних технологій
?
Розпочати тест